Olympia

Đề thi thử ĐH môn Toán khối A, A1

Đề thi thử Đại học lần 1 năm 2015 Khối A và A1

Câu 1. (2 điểm)
a) Khảo sát biến thiên và vẽ đồ thị (C) của hàm số y = x- 3x2  + 2
b) Tìm giá trị tham số m∈R thì đồ thị của hàm số y = -x+ 4mx- 4m có 3 cực trị là 3 đỉnh của 1
Đề thi thử Đại học lần 1 năm 2015 Khối A và A1


Câu 2. (1 điểm) Giải phương trình:
Đề thi thử Đại học lần 1 năm 2015 Khối A và A1
Câu 3. (1 điểm) Tính toan giới hạn:
Đề thi thử Đại học lần 1 năm 2015 Khối A và A1
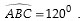
Câu 4. (1 điểm). Trong mặt phẳng (P), cho hình thoi ABCD có độ dài các cạnh bằng a, Đề thi thử Đại học lần 1 năm 2015 Khối A và A1 Gọi G là trọng tâm tam giác ABD. Trên đường thẳng vuông góc với (P) tại G lấy điểm S sao cho Đề thi thử Đại học lần 1 năm 2015 Khối A và A1Tính thể tích khối chóp S.ABCD và khoảng cách từ điểm G đến mặt phẳng (SBD) theo a.
Câu 5. (1 điểm)
a) Từ các chữ số 0,1,2,3,4,5,6 có thể lập được bao nhiêu số chẵn có 4 chữ số khác nhau nhỏ hơn 4321 đồng thời các chữ số 1 và 3 luôn có mặt và đứng cạnh nhau.
b) Chứng minh rằng: với mọi cặp số nguyên Đề thi thử Đại học lần 1 năm 2015 Khối A và A1 Tìm số nguyên n>4 biết rằng
Đề thi thử Đại học lần 1 năm 2015 Khối A và A1
Câu 6. (1 điểm) Trong mặt phẳng với hệ trục tọa độ Oxy, ho tam giác ABC có phương trình các đường thẳng AB, AC lần lượt là 4x - 3y - 20 = 0; 2x + y + 10 = 0. Đường tròn (C) đi qua trung điểm của cácđoạn thẳng HA, HB, HC có phương trình là (x-1)2 + (y+2)2= 25, trong đó H là trực tâm của tam giác ABC. Tìm tọa độ điểm H biết x >-4.
Xem thêm: Đề thi thử môn van hoc khối C, D năm 2015

0 nhận xét: